新疆自考网:2025年全国高等教育自学考试《线性代数》考前模拟卷
《自考视频课程》名师讲解,轻松易懂,助您轻松上岸!低至199元/科!
2025年全国高等教育自学考试《线性代数》考前模拟卷
一、单项选择题(本大题共5小题,每小题2分,共10分)

3.设A为4×5矩阵且r(A)=4,则齐次线性方程组Ax=0的基础解系中所含向量的个数为( )。
A.1
B.2
C.3
D.4
4.设A的特征值为1,-1,向量ɑ是属于1的特征向量,β是属于-1的特征向量,则下列论断正确的是( )。
A.ɑ和β线性无关
B.ɑ+β是A特征向量
C.ɑ和β线性相关
D.ɑ与β必正交
5.下列命题中错误的是( )。
A.只含有一个零向量的向益组线性相关
B.由3个2维向量组成的向量组线性相关
C.由一个非零向量组成的向量组线性相关
D.两个成比例的向量组成的向量组线性相关
二、填空题(本大题共10小题,每小题2分,共20分)
6.设A,B 都为n 阶对称矩阵,则AB也为对称矩阵的充要条件为 。
7.设A为实对称矩阵,
是A属于不同特征值λ1和λ2的特征向量,则a= 。
9.设向量
=(1,2,3,4),则
的单位化向量为 。

三、计算题(本大题共7小题,每小题9分,共63分)



四、证明题(本题7分)

2024年全国高等教育自学考试《线性代数》考前模拟卷
参考答案
一、单项选择题
1.【答案】C
【解析】由代数余子式的定义知,Aij=(-1)i+jMij。
2.【答案】C
【解析】存在可逆矩阵P使B=P-1AP,因此B2=P-1AP・P-1AP=P-1A2P=P-1P=E。
3.【答案】A
4.【答案】A
【解析】属于不同特征值的特征向量必线性无关。
5.【答案】C
二、填空题
6.【答案】AB=BA
【解析】A,B为n阶对称矩阵,则AT=A,BT=B,因为AB也是对称矩阵。(AB)T=BTAT=BA=AB,故A、B都为n阶对称矩阵,则AB也为对称矩阵的充要条件为AB=BA。
7.【答案】5
【解析】由于实对称矩阵属于不同特征值的特征向量正交,因此(ɑ1,ɑ2)=a-8+3=a-5=0,所以a=5。
8.【答案】2E
【解析】A2+B2=ABB-1A+BA-1AB=EE+EE=E+E=2E。
9.【答案】![]()
【解析】单位化即使各元素的平方加起来为1,
,所以单位化向量
为
。
10.【答案】a≠-2且a≠1
11.【答案】3
【解析】
,已知r(A)=3,
故
,故c≠3。
12.【答案】-4
【解析】
。
要谨记如下公式:|kA|=knA。
|AB|=|A||B|,|A-1|=|A|-1。
13.【答案】n
【解析】本题考查利用定义求矩阵的秩,就是利用矩阵的行列式是否为零来确定矩阵的秩,因为A≠0,所以至少有一个元素aij≠0;将IAI按第i行展开,有|A|=
>0,故r(A)=n。
14.【答案】1
【解析】正惯性指数为3, 负惯性指数为2。所以符号差为3-2=1。
15.【答案】12
【解析】
对增广矩阵作初等行变换,有
,因此可见,r(A)=2,如果方程有解,必有r(
)=2,因此
,所以λ=12。
三、计算题
16.【答案】

17.【答案】解:
从而ɑ1,ɑ2,ɑ3为一个极大线性无关组,且ɑ4=ɑ1+2ɑ2(答案不唯一)。
18.【答案】(1)设矩阵A的特征值为λ,则由A2+2A=0知,λ2+2λ=0,故λ=0或λ=-2,因为r(A)=2,λ=0不可能是二重根,故A=-2是二重根。
(2)kE3+A的特征值为k+λ,kE3+A为正定矩阵的充要条件是kE3+A有3个大于0的特征值,故当k>2时,k+λ>0,kE3+A必为正定矩阵。
19.【答案】解:已知r(R) =2,r(S)=2,但R不能由S线性表出,S也不能由R线性表出,故R与S不等价。
20.【答案】
求解非齐次线性方程组
据此可知当λ=15时,β=11
-5
+0
。
21.【答案】解:由于AB=A2-E,又
.
所以A可逆,因此B=A-1(A2-E)=A-A-1
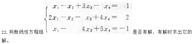
22.【答案】
由此得
.
所以方程组无解。
四、证明题
23.【答案】(1)由
,
,
,线性相关得![]()
k1≠0,否者
,
线性相关,与
,
,
线性无关矛盾,从而得
能由
,
线性表出。
(2)反证法,若
能由
,
,
线性表出,可得出
也能由
,
线性表出,与
,
,
线性无关矛盾,从而得
不能由
,
,
线性表出。
本文标签:新疆自考公共课新疆自考网:2025年全国高等教育自学考试《线性代数》考前模拟卷
转载请注明:文章转载自(http://www.xinjiangzikao.com)

《新疆自考网》免责声明:
1、由于各方面情况的调整与变化,本网提供的考试信息仅供参考,考试信息以省考试院及院校官方发布的信息为准。
2、本网信息来源为其他媒体的稿件转载,免费转载出于非商业性学习目的,版权归原作者所有,如有内容与版权问题等请与本站联系。联系邮箱:812379481@qq.com。









