2025年新疆高等教育自学考试《概率论与数理统计》考前模拟卷
《自考视频课程》名师讲解,轻松易懂,助您轻松上岸!低至199元/科!
2025年新疆高等教育自学考试《概率论与数理统计》考前模拟卷
一、单项选择题(本大题共10小题,每小题2分,共20分)
1.A,B为随机事件,且P(A)=0.3,则当()时,一定有P(B)=0.7。
A.A与B互不相容
B.A与B独立
C.A与B对立
D.A不包含B
2.12颗围棋子中有8颗白子,4颗黑子,从中任取3颗,则这3颗中恰有一颗黑子的概率为()。
A.0.509
B.0.255
C.0.745
D.0.272
3.已知D(X)=4,D(Y)= 25,
XY = 0.6,则D(X-Y)=()。
A.17
B.19
C.20
D.18
4.设随机变量X服从参数为1/4的指数分布,则E(X)=()。

5.极大似然估计()。
A.必然是矩估计
B.是使似然函数取得极大值的点
C.必然是二阶中心距
D.必然是无偏估计
6.随机变量X与Y相互独立且同分布于
,则下面结论不成立的是()。
A.E(2X-2Y) =0
B.E(2X+2Y) =
C.D(2X-22Y)=0
D.X与Y不相关


9.A与B相互独立,P(A) >0,P(B) >0,则一定有 P(A U B)=()。

10.从1到100这100个自然数中任取一个,则取到的数能被3整除的概率是()。
A.0.5
B.0.33
C.0.66
D.0.8
二、填空题(本大题共15小题,每小题2分,共30分)
11.设A1,A2,A3构成一完备事件组,且P(A1)=0.5,P(A2)=0.7,则P(A3) = 。

14.若随机变量 X 满足 E(X)=2,D(X)=4,则 E(X2)=_______。
15.设E(X)=1,E(Y)=6,E(XY)=7,则Cov(X,Y)=______。
16.设电站供电网有10000盏灯,夜晚每一盏灯开灯的概率都是0.5,而假定所有灯开或关是相互独立的,则夜晚同时开关的灯数在4800-5200的概率为 。

20.若X的分布律为
,则E(X2)=______。
21.若E(X)=25,E(Y)=5,则E(5X-25Y)=______。
22.若X与Y独立,E(X)=E(Y)=0,D(X)=D(Y)=1,则E[(X+2Y)2]=_____ 。
23.A与B互不相容,P(A)>0,则P(B|A)=______。
24.若随机变量X的可能取值为1与a,且P{X =1} = 0. 4,E(X)=0.2,则a=_______。
25.甲、乙两人独立地破译一份密码,若他们各人译出的概率均为0.25,则这份密码能破译出的概率为______。
三、计算题(本大题共2小题,每小题8分,共16分)

27.某厂甲,乙两台机床生产同一型号产品,产量分别占总产量的40% ,60%,并且各自产品中
的次品率分别为1%,2%。
求:(1)从该产品中任取一件是次品的概率;
(2)在取出一件是次品的条件下,它是由乙机床生产的概率。
四、综合题(本大题共2小题,每小题12分,共24分)
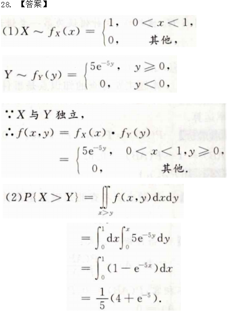
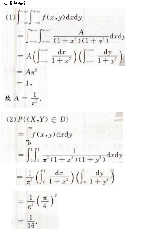
28设随机变量X服从[0,1]上的均匀分布,Y服从参数为5的指数分布,且X与Y独立。
求:(1)二维随机变量(X,Y)的概率密度;
(2)![]()

五、应用题(10分)
30.某单位内部有1000台电话,每个分机有5%的时间使用外线通话,假定每个分机是否使用外线是相互独立的,该单位总机至少应安装多少条外线,才能以95%以上的概率保证每个分机需用外线时不被占用?(附:Φ(1.65)= 0. 9505)
2024年湖南省高等教育自学考试《概率论与数理统计》考前模拟卷参考答案
一、单项选择题
1.【答案】C
2.【答案】A
3.【答案】A
4.【答案】B
5.【答案】B
6.【答案】C
7.【答案】C
8.【答案】C
9.【答案】C
10.【答案】B
二、填空题
11.【答案】0.2
12.【答案】0.25
13.【答案】2
14.【答案】8
15.【答案】1
16.【答案】0.9375

20.【答案】0. 7
21.【答案】0
22.【答案】5
23.【答案】0

三、计算题


四、综合题
五、应用题

本文标签:新疆自考公共课2025年新疆高等教育自学考试《概率论与数理统计》考前模拟卷
转载请注明:文章转载自(http://www.xinjiangzikao.com)

《新疆自考网》免责声明:
1、由于各方面情况的调整与变化,本网提供的考试信息仅供参考,考试信息以省考试院及院校官方发布的信息为准。
2、本网信息来源为其他媒体的稿件转载,免费转载出于非商业性学习目的,版权归原作者所有,如有内容与版权问题等请与本站联系。联系邮箱:812379481@qq.com。









